Την ανοδική πορεία του συνέχισε το τρίτο τρίμηνο του 2025 ο ασφαλιστικός τομέας στην Κύπρο, εν μέσω έντονων κινήσεων εξαγορών και συγχωνεύσεων ασφαλιστικών εταιρειών, συνθέτοντας ένα νέο περιβάλλον όπου οι τράπεζες διαδραματίζουν πρωταγωνιστικό ρόλο.
Τα πιο πάνω επιβεβαιώνουν με τον πλέον ξεκάθαρο τρόπο τα στατιστικά αποτελέσματα του Συνδέσμου Ασφαλιστικών Εταιρειών Κύπρου (ΣΑΕΚ) για το ενιάμηνο του 2025, τα οποία επεξεργάστηκε και παρουσιάζει το InBusinessNews.
Μάλιστα και με βάση τα στοιχεία, ιδιαίτερο ενδιαφέρον προσελκύει η μάχη μεταξύ Τράπεζας Κύπρου και Eurobank, αλλά και της Alpha Bank που εισέρχεται πλέον δυναμικά στον κλάδο, η οποία μετά τις κινήσεις εξαγοράς της Εθνικής Ασφαλιστικής από την πρώτη, της CNP Κύπρου από τη δεύτερη, και των Universal Life και Altius από την τρίτη, επεκτείνεται πλέον και στον τομέα των ασφαλειών.
- Διαβάστε ακόμη: Alpha Bank: Δημιουργεί νέο ασφαλιστικό κολοσσό στην Κύπρο ενώνοντας Universal και Altius
- Διαβάστε επίσης: ERB Cyprialife και ERB Asfalistiki... Παίρνει σάρκα και οστά η συγχώνευση με Hellenic Life και Παγκυπριακή Ασφαλιστική
- Διαβάστε ακόμη: Ενισχύει τη θέση της στον ασφαλιστικό τομέα η Τρ. Κύπρου-Ολοκλήρωσε την εξαγορά της Εθνικής Ασφαλιστικής (Κύπρου)
Βάσει των ίδιων στοιχείων, η Τράπεζα Κύπρου πλέον πρωταγωνιστεί στον κλάδο ζωής, ενώ η Eurobank στον γενικό κλάδο.
- Διαβάστε επίσης: Σε πορεία πλήρους αναδιαμόρφωσης ο ασφαλιστικός τομέας - Σε ρόλο πρωταγωνιστή οι τράπεζες
- Διαβάστε επίσης: Ανδρέας Αθανασιάδης: Πολύ θετικές οι τελευταίες κινήσεις στον ασφαλιστικό τομέα - «Φανερώνουν υγιή και κερδοφόρα αγορά»
Κλάδος Ζωής
Σε ό,τι αφορά τον κλάδο ζωής, σύμφωνα με τα στοιχεία του ΣΑΕΚ το σύνολο των μικτών ασφαλίστρων συμπεριλαμβανομένων των ασφαλίστρων ατυχημάτων και υγείας από εταιρείες Ζωής, ανήλθαν το πρώτο ενιάμηνο στα €620.752.325 σε σχέση με €569.299.056 την περίοδο Ιανουαρίου-Σεπτεμβρίου του 2024, παρουσιάζοντας άνοδο της τάξεως του 9%.
Από περαιτέρω ανάλυση των ίδιων στοιχείων προκύπτει ότι, το μεγαλύτερο μερίδιο στα ασφάλιστρα Ζωής κατέχει η Eurolife (30,1%) με €186,5 εκατ. σε σχέση με €160,8 εκατ. το ενιάμηνο του 2024, καταγράφοντας αύξηση 16%.
Στην δεύτερη θέση βρίσκεται η ERB Cyprialife, κατέχοντας το 22,2% των ασφαλίστρων, τα οποία ανήλθαν στα €137,63 εκατ. σε σχέση με €127,8 εκατ. την αντίστοιχη περσινή περίοδο, σημειώνοντας αύξηση 7,7%, ενώ στην τρίτη θέση βρέθηκε η Universal Life (15,4%) της οποίας τα ασφάλιστρα Ζωής ανήλθαν στα €95,4 εκατ. σε σχέση με €89 εκατ. το 2024, καταγράφοντας αύξηση 7,2%.
Στην τέταρτη θέση βρέθηκε η Metlife (9,2%) με €57 εκατ. σε σχέση με €48,5 εκατ. το ενιάμηνο του 2024, καταγράφοντας αύξηση της τάξεως του 17,6%, ενώ την πρώτη πεντάδα συμπλήρωσε η Ancoria (6,7%) με €41,8 εκατ. σε σχέση με €53 εκατ. την περίοδο Ιανουαρίου-Σεπτεμβρίου 2024, καταγράφοντας μείωση της τάξεως του 21,2%.
Αναλυτικά τα μερίδια ανά ασφαλιστική εταιρεία στον ακόλουθο πίνακα:
Σε ό,τι αφορά τη μάχη των τραπεζών στον ασφαλιστικό τομέα, συνυπολογίζοντας τα αποτελέσματα Eurolife και Εθνικής Ασφαλιστικής, το συνολικό μερίδιο αγοράς αγγίζει το 32,4%, φέρνοντας την Τράπεζα Κύπρου στην πρώτη θέση, ακολουθούμενη από την Eurobank, αφού το συνολικό μερίδιο αγοράς της ERB Cyprialife και της Hellenic φθάνει το 28%.
Όσον αφορά τις ασφαλιστικές που προτίθεται να συνενώσει η Alpha Bank (Altius-Universal Life), το συνολικό μερίδιο αγοράς τους αγγίζει το 19,5%, φέρνοντας την Τράπεζα στην τρίτη θέση.
Εξαιρουμένων ασφαλίστρων ατυχημάτων και υγείας
Εξαιρουμένων, δε, των ασφαλίστρων ατυχημάτων και υγείας από εταιρείες Ζωής, τα συνολικά ασφάλιστρα του κλάδου ζωής ανήλθαν το ενιάμηνο του έτους στα €533.041.244 σε σχέση με €486.622.492 την αντίστοιχη περσινή περίοδο, σημειώνοντας αύξηση 9,5%.
Από ανάλυση των στοιχείων προκύπτει πως, και σε αυτή την περίπτωση το μεγαλύτερο μερίδιο κατέχει η Eurolife σε ποσοστό 31,1% με τα ασφάλιστρα να φθάνουν τα €165,8 εκατ. σε σχέση με €140,8 εκατ. το ενιάμηνο του 2024, παρουσιάζοντας αύξηση 17,8%.
Στην δεύτερη θέση διατηρήθηκε και η ERB Cyprialife, κατέχοντας το 23,5% των ασφαλίστρων, τα οποία ανήλθαν στα €125,2 εκατ. σε σχέση με €116 εκατ. το ενιάμηνο του 2024, καταγράφοντας αύξηση 7,9%, ενώ στην τρίτη θέση βρέθηκε η Universal Life (11,7%) της οποίας τα ασφάλιστρα άγγιξαν τα €62,4 εκατ. σε σχέση με €57,6 εκατ. την περίοδο Ιανουαρίου-Σεπτεμβρίου 2024, σημειώνοντας αύξηση 8,4%.
Στην τέταρτη θέση βρέθηκε η Ancoria (7,8%) με €41,8 εκατ. σε σχέση με €53 εκατ. το ενιάμηνο του 2025, καταγράφοντας μείωση 21,2%, ενώ την πρώτη πεντάδα συμπλήρωσε η Metlife (6,7%) με 35,9 εκατ. σε σχέση με €29,3 εκατ. το ενιάμηνο του 2024, παρουσιάζοντας αύξηση της τάξεως του 22,3%.
Σημειώνεται πως το ίδιο μερίδιο αγοράς κατέγραψε και η Hellenic (6,7%), της οποίας-ωστόσο- τα ασφάλιστρα διαμορφώθηκαν στα €35,7 εκατ. σε σχέση με €30,9 εκατ. την περίοδο Ιανουαρίου-Σεπτεμβρίου 2024, παρουσιάζοντας αύξηση 15,2%.
Αναλυτικά τα μερίδια ανά ασφαλιστική εταιρεία στον ακόλουθο πίνακα
Σε ό,τι αφορά την μάχη των τραπεζών στον ασφαλιστικό τομέα, και σε αυτή την κατηγορία ασφαλίστρων την πρώτη θέση καταλαμβάνει η Τράπεζα Κύπρου με συνολικό μερίδιο 33,8%, ακολουθούμενη από την Eurobank με 30,2% και την Alpha Bank με 16,5%.
Η πορεία του γενικού κλάδου
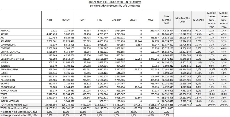
Όσον αφορά τον γενικό κλάδο, το σύνολο των μικτών ασφαλίστρων εξαιρουμένων των ασφαλίστρων ατυχημάτων και υγείας από εταιρείες Ζωής, ανήλθαν το ενιάμηνο του 2025 στα €400.054.215 σε σχέση με €367.018.485 την αντίστοιχη περσινή περίοδο, παρουσιάζοντας αύξηση 9%.
Από ανάλυση των στοιχείων προκύπτει πως, το μεγαλύτερο μερίδιο σε ασφάλιστρα γενικού κλάδου, εξαιρουμένων ασφαλίστρων ατυχημάτων και υγείας από εταιρείες Ζωής, κατέχουν οι Γενικές Ασφάλειες Κύπρου (13,7%) με €54,7 εκατ. σε σχέση με €49,8 εκατ. το ενιάμηνο του 2024, παρουσιάζοντας αύξηση 9,7%.
Στην δεύτερη θέση βρέθηκε η ERB Asfalistriki (13,1%) με €52,4 εκατ. σε σχέση με €48,9 εκατ. το ενιάμηνο του 2024, παρουσιάζοντας αύξηση 7,2%, ακολουθούμενη από την Trust (11,1%) με €44,3 εκατ. σε σχέση με €40,6 εκατ. την περίοδο Ιανουαρίου-Σεπτεμβρίου 2024, σημειώνοντας αύξηση 9,1%.
Στην τέταρτη θέση βρίσκεται η Παγκυπριακή (9,1%) με €36,4 εκατ. σε σχέση με €33,5 εκατ. το ενιάμηνο του 2024, καταγράφοντας αύξηση 8,5%, ενώ την πεντάδα συμπληρώνει η AIG (7,2%) με €29 εκατ. σε σχέση με €25 εκατ. την περίοδο Ιανουαρίου-Σεπτεμβρίου 2024, παρουσιάζοντας αύξηση 15,6%.
Αναλυτικά τα μερίδια ανά ασφαλιστική εταιρεία στον ακόλουθο πίνακα:
Όσον αφορά τη μάχη των τραπεζών για επικράτηση στον ασφαλιστικό τομέα, στον γενικό κλάδο η Eurobank παρουσιάζει το μεγαλύτερο ποσοστό με 22,2%, ακολουθούμενη από την Τράπεζα Κύπρου με 17,6%, ενώ το ποσοστό της Alpha Bank ανέρχεται στο 4,7%, αφού μόνο η Altius δραστηριοποιείται στον συγκεκριμένο κλάδο.











